Войти на сайт
(
)
Алгебра 8 класс. Макарычев (8 класс)
Номер задания
354
|
355
|
356
|
357
|
358
|
359
|
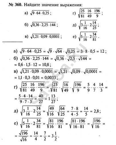
360
361
|
362
|
363
|
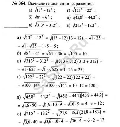
364
|
365
|
366
|
367
368
|
369
|
370
|
371
|
372
|
373
|
374
375
|
376
|
377
|
378
|
379
|
380
|
381
382
|
383
|
384
|
385
|
386
|
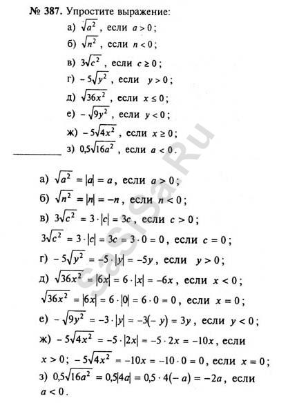
387
|
388
389
|
390
|
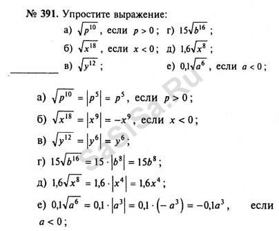
391
|
392
|
393
|
394
|
395
396
|
397
|
398
|
399
|
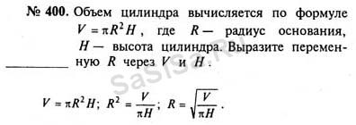
400
|
401
|
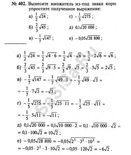
402
403
|
404
|
405
|
406
|
407
|
408
|
409
410
|
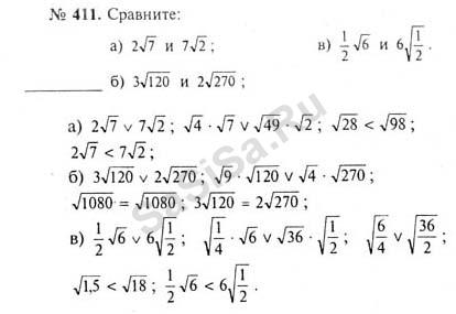
411
|
412
|
413
|
414
|
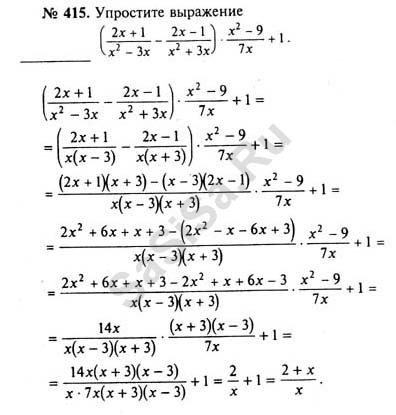
415
|
416
417
|
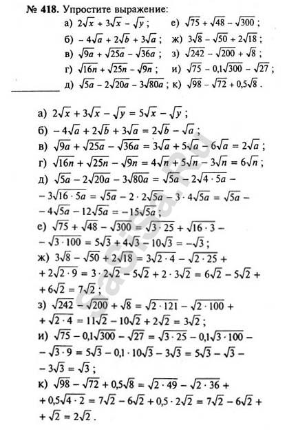
418
|
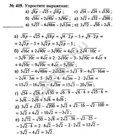
419
|
420
|
421
|
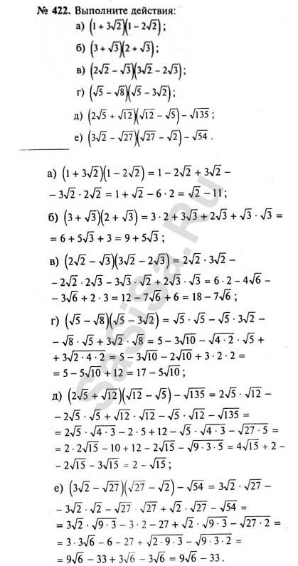
422
|
423
Далее »
« Назад
Страница:
1
,
2
,
3
...
5
,
6
,
7
...
12
,
13
,
14
Алгебра, 8 Класс
Школьный раздел
Сервисы
|
Главная
(c)
m.sasisa.cc