Войти на сайт
(
)
Алгебра 8 класс. Макарычев (8 класс)
Номер задания
282
|
283
|
284
|
285
|
286
|
287
|
288
289
|
290
|
291
|
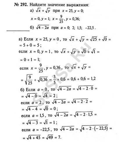
292
|
293
|
294
|
295
296
|
297
|
298
|
299
|
300
|
301
|
302
303
|
304
|
305
|
306
|
307
|
308
|
309
310
|
311
|
312
|
313
|
314
|
315
|
316
317
|
318
|
319
|
320
|
321
|
322
|
323
324
|
325
|
326
|
327
|
328
|
331
|
332
333
|
334
|
335
|
336
|
337
|
338
|
339
340
|
341
|
342
|
343
|
344
|
345
|
346
347
|
348
|
349
|
350
|
351
|
352
|
353
Далее »
« Назад
Страница:
1
,
2
,
3
,
4
,
5
,
6
...
12
,
13
,
14
Алгебра, 8 Класс
Школьный раздел
Сервисы
|
Главная
(c)
m.sasisa.cc