Войти на сайт
(
)
Алгебра 8 класс. Макарычев (8 класс)
Номер задания
211
|
212
|
213
|
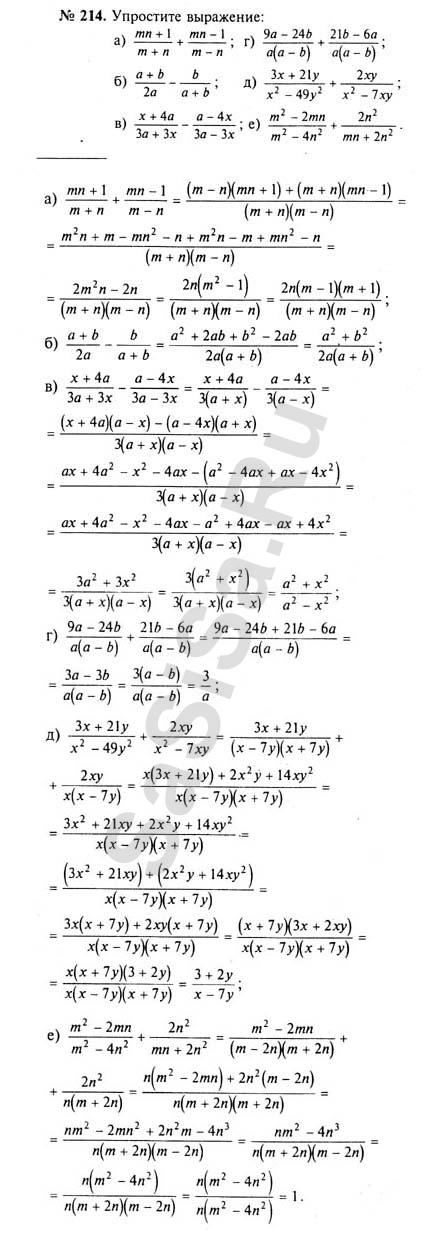
214
|
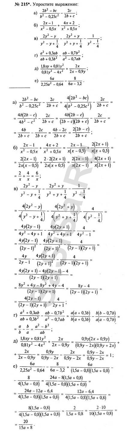
215
|
216
|
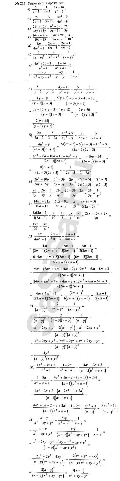
217
218
|
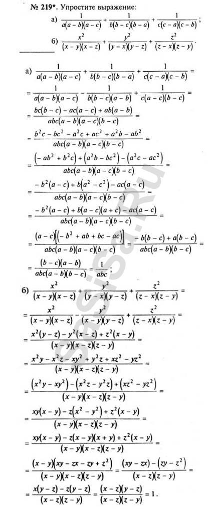
219
|
220
|
221
|
222
|
223
|
224
225
|
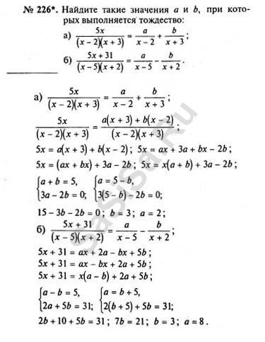
226
|
227
|
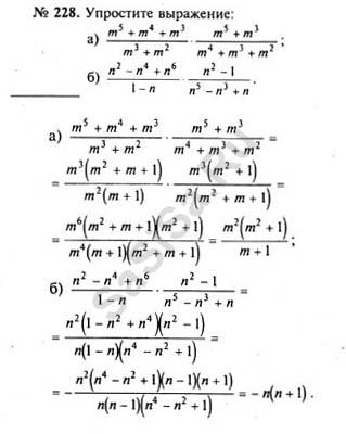
228
|
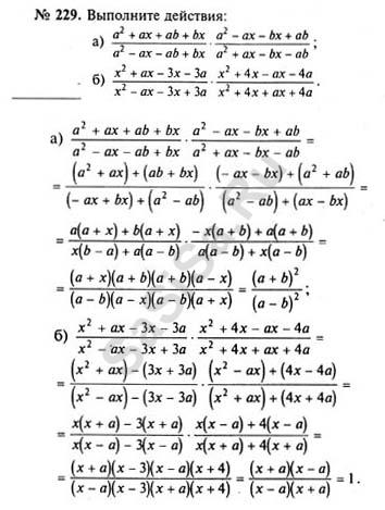
229
|
230
|
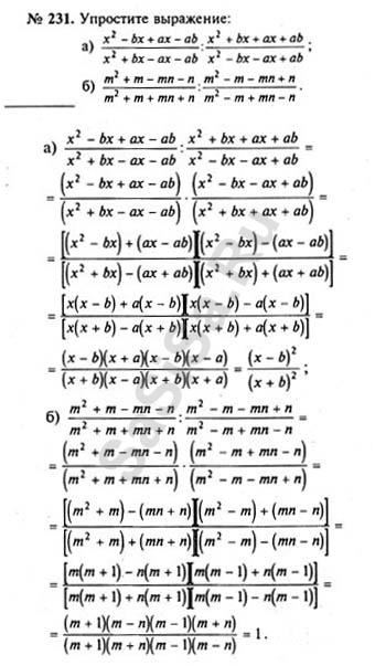
231
232
|
233
|
234
|
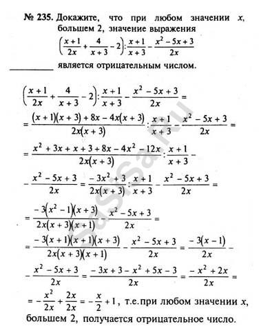
235
|
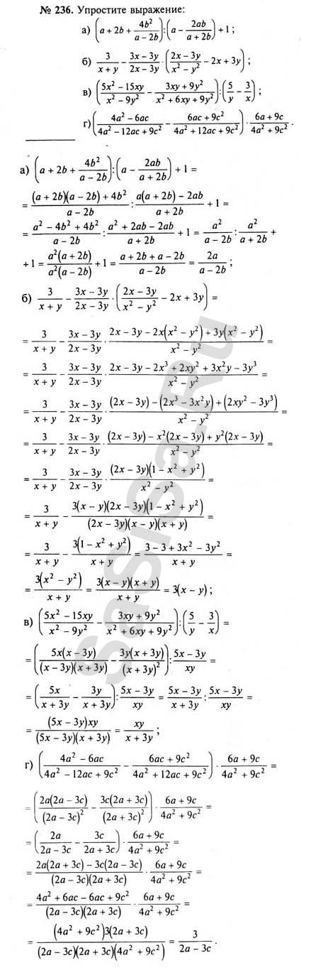
236
|
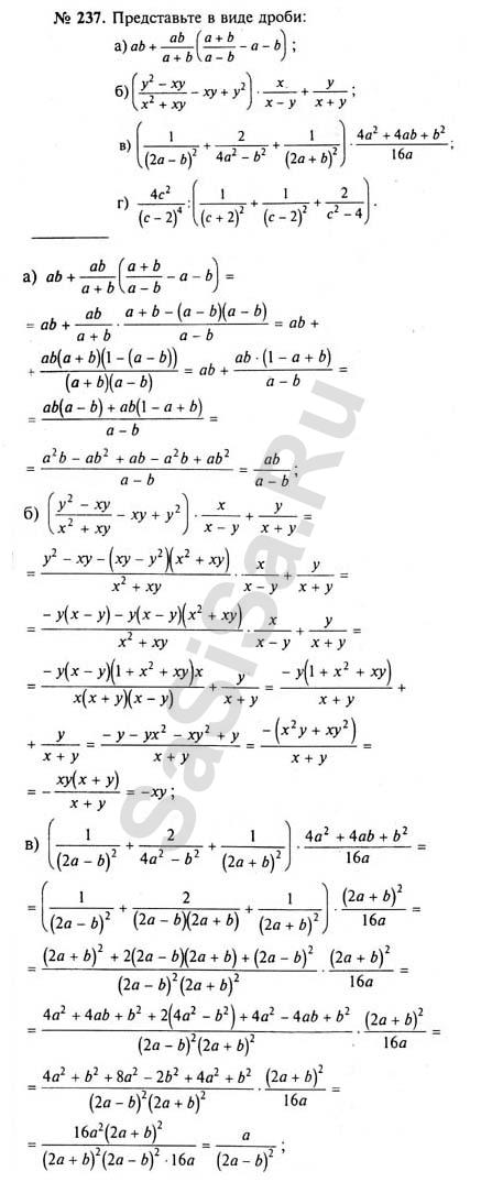
237
|
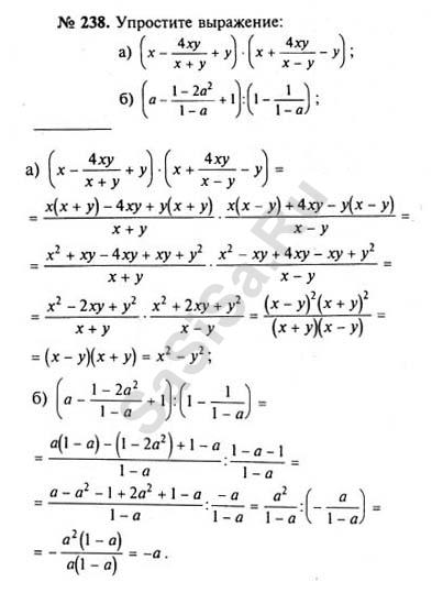
238
239
|
240
|
241
|
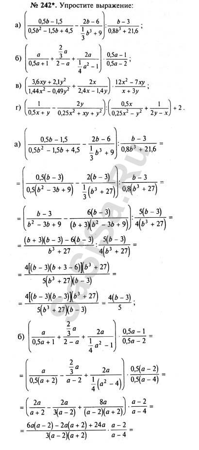
242
|
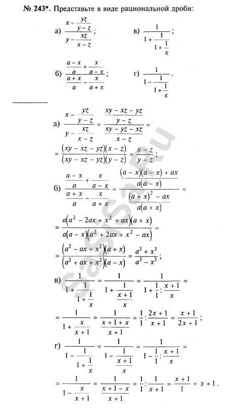
243
|
244
|
245
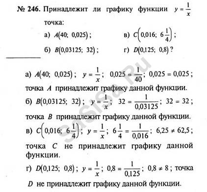
246
|
247
|
248
|
249
|
250
|
252
|
253
254
|
255
|
256
|
257
|
258
|
259
|
260
261
|
262
|
263
|
264
|
265
|
266
|
267
268
|
269
|
270
|
271
|
272
|
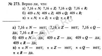
273
|
274
275
|
276
|
277
|
278
|
279
|
280
|
281
Далее »
« Назад
Страница:
1
,
2
,
3
,
4
,
5
...
12
,
13
,
14
Алгебра, 8 Класс
Школьный раздел
Сервисы
|
Главная
(c)
m.sasisa.cc