Войти на сайт
(
)
Алгебра 8 класс. Макарычев (8 класс)
Номер задания
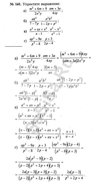
141
|
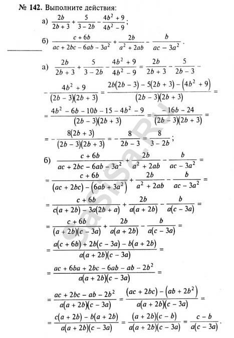
142
|
143
|
144
|
145
|
146
|
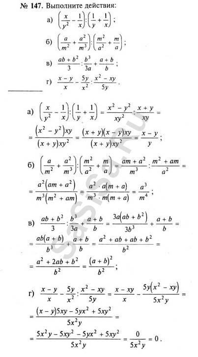
147
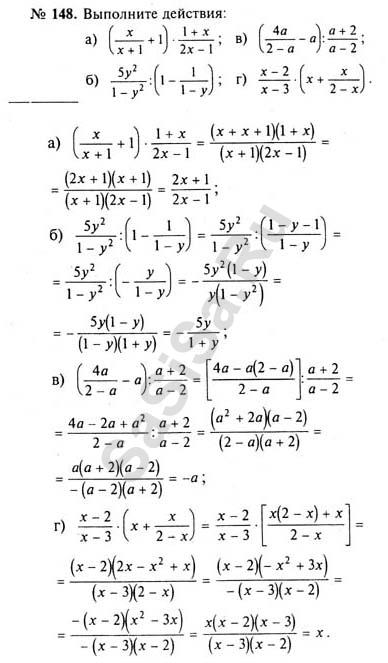
148
|
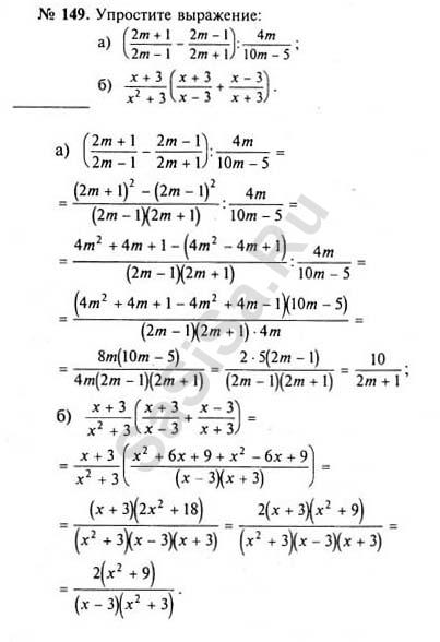
149
|
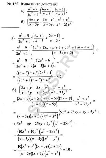
150
|
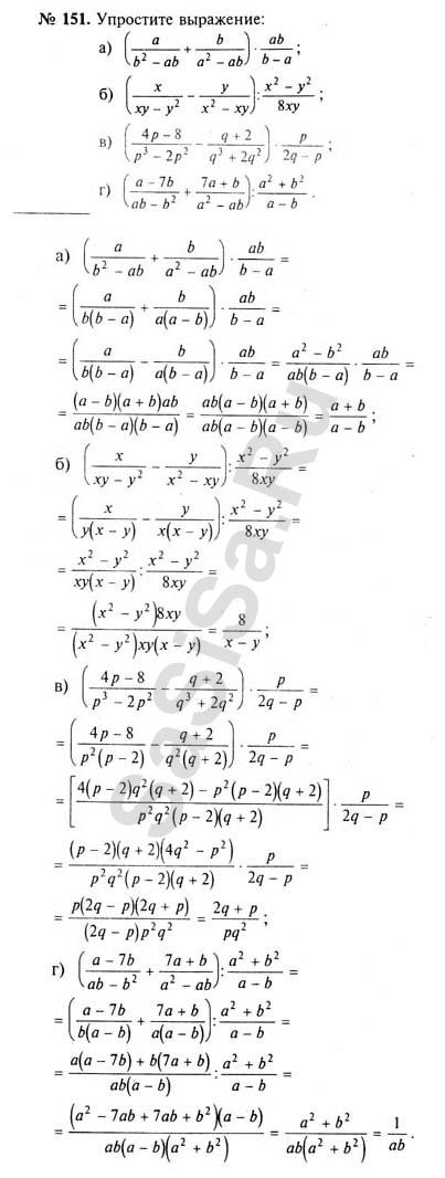
151
|
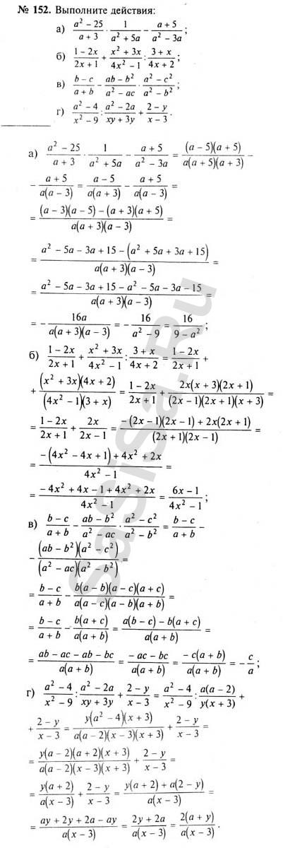
152
|
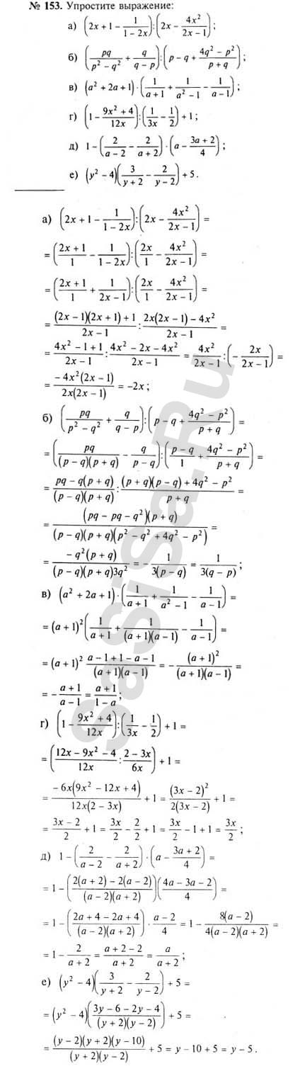
153
|
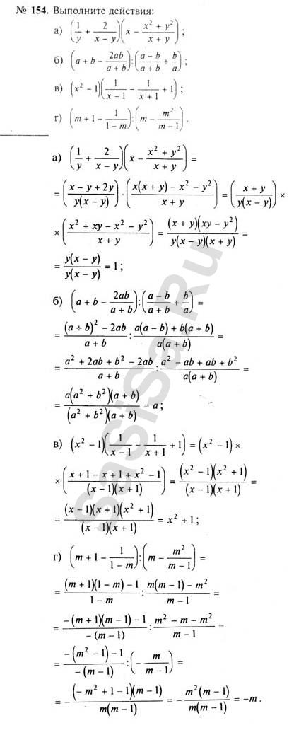
154
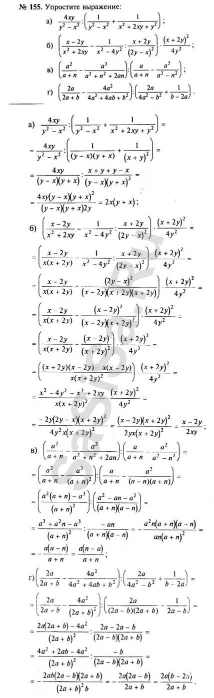
155
|
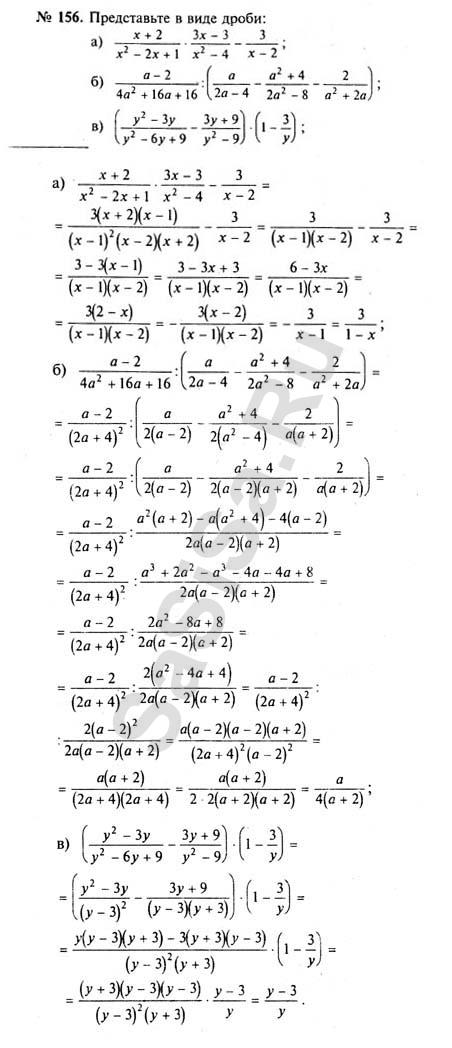
156
|
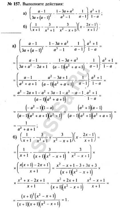
157
|
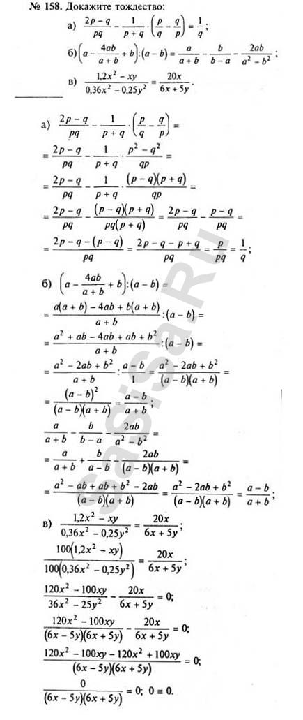
158
|
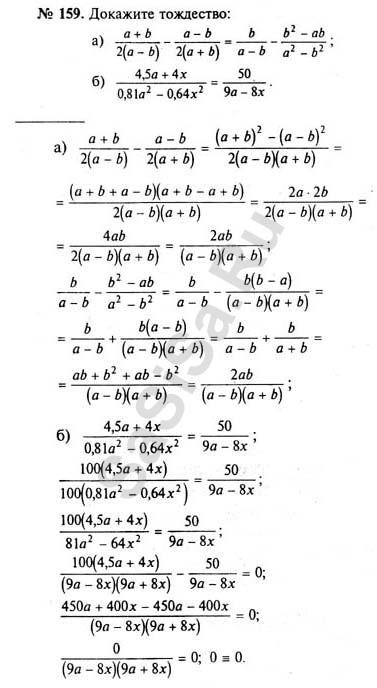
159
|
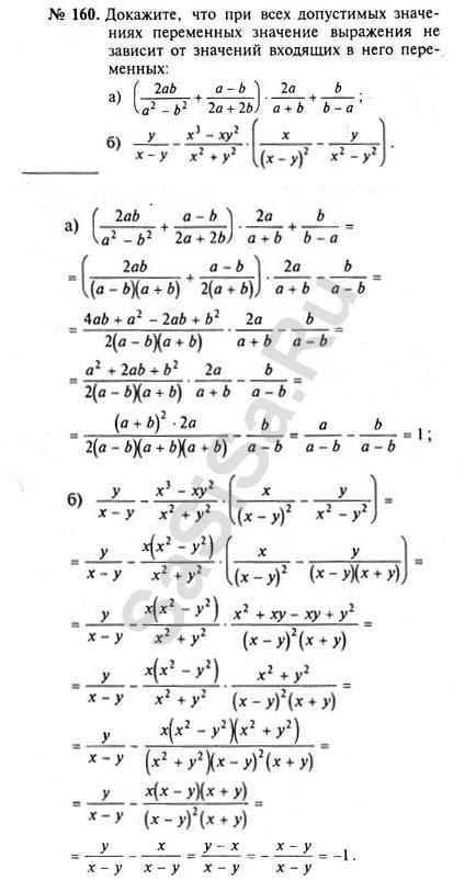
160
|
161
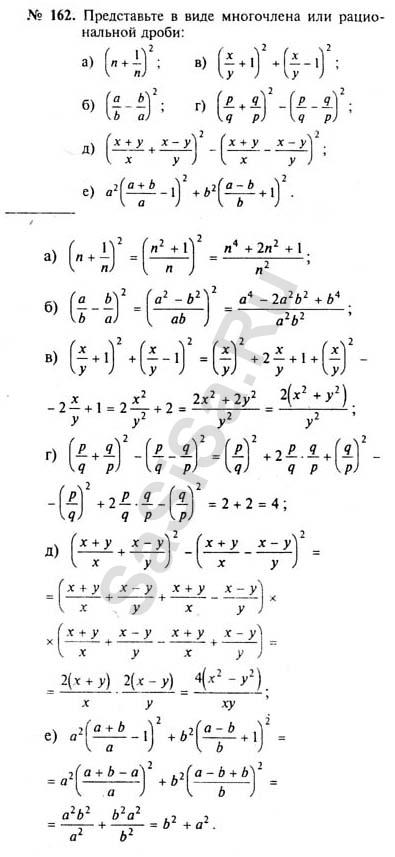
162
|
163
|
164
|
165
|
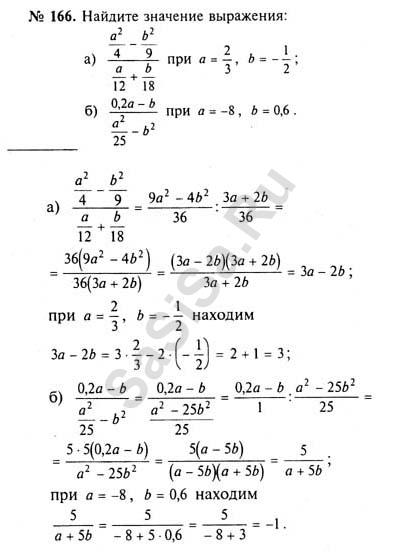
166
|
167
|
168
169
|
170
|
171
|
172
|
173
|
174
|
175
176
|
177
|
178
|
179
|
180
|
181
|
182
183
|
184
|
185
|
186
|
187
|
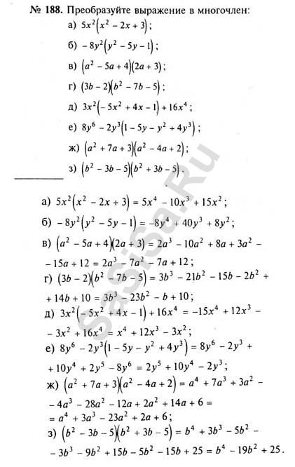
188
|
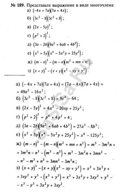
189
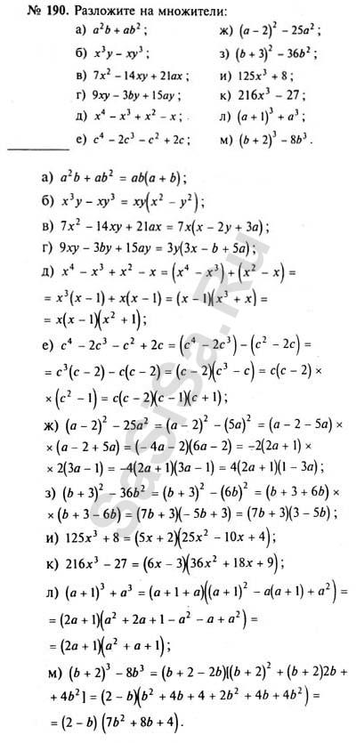
190
|
191
|
192
|
193
|
194
|
195
|
196
197
|
198
|
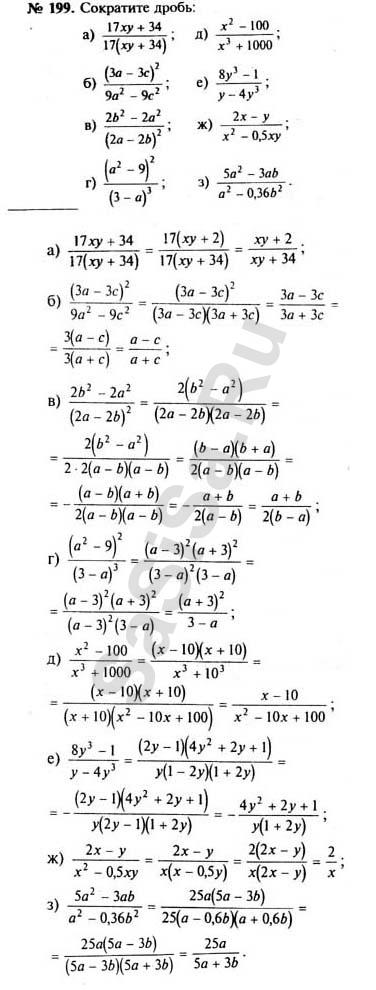
199
|
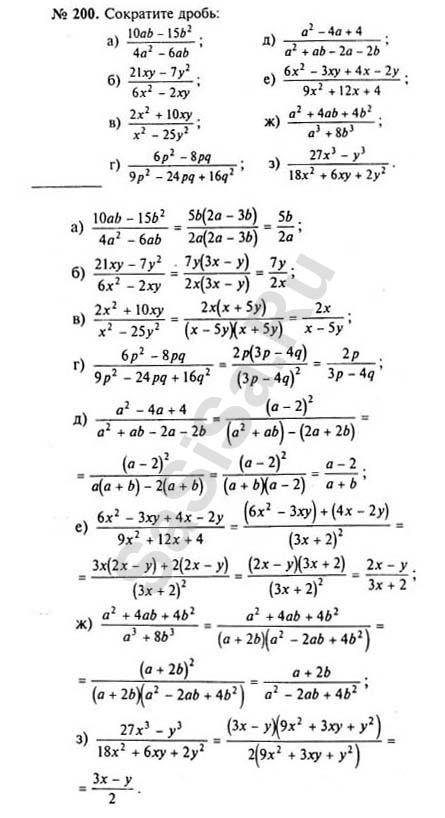
200
|
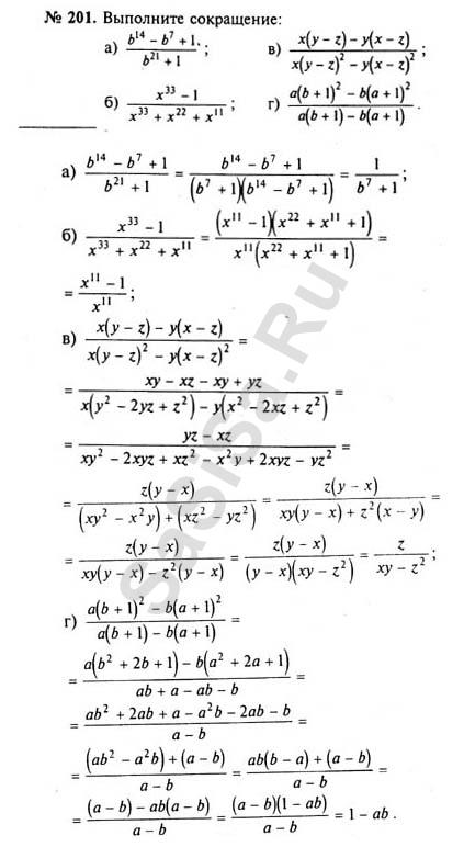
201
|
202
|
203
204
|
205
|
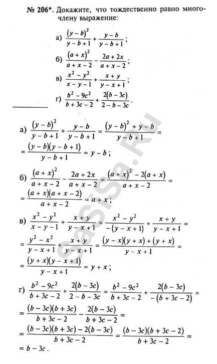
206
|
207
|
208
|
209
|
210
Далее »
« Назад
Страница:
1
,
2
,
3
,
4
...
12
,
13
,
14
Алгебра, 8 Класс
Школьный раздел
Сервисы
|
Главная
(c)
m.sasisa.cc