Войти на сайт
(
)
Алгебра 8 класс. Макарычев (8 класс)
Номер задания
1
|
2
|
3
|
4
|
5
|
6
|
7
8
|
9
|
10
|
11
|
12
|
13
|
14
15
|
16
|
17
|
18
|
19
|
20
|
21
22
|
23
|
24
|
25
|
26
|
27
|
28
29
|
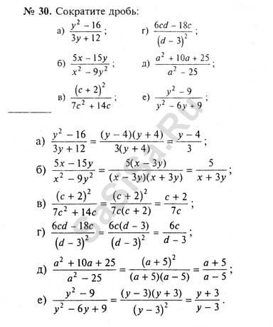
30
|
31
|
32
|
33
|
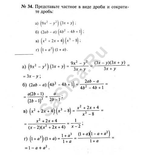
34
|
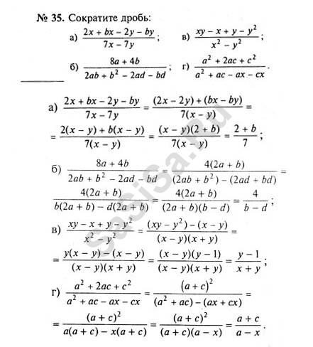
35
36
|
37
|
38
|
39
|
40
|
41
|
42
43
|
44
|
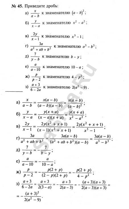
45
|
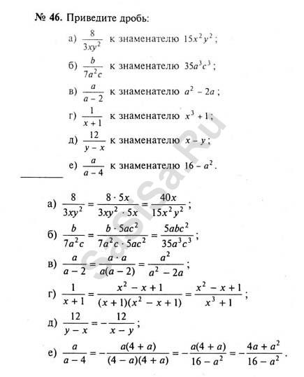
46
|
47
|
48
|
49
50
|
51
|
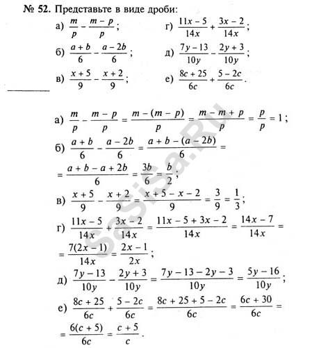
52
|
53
|
54
|
55
|
56
57
|
58
|
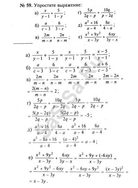
59
|
60
|
61
|
62
|
63
64
|
65
|
66
|
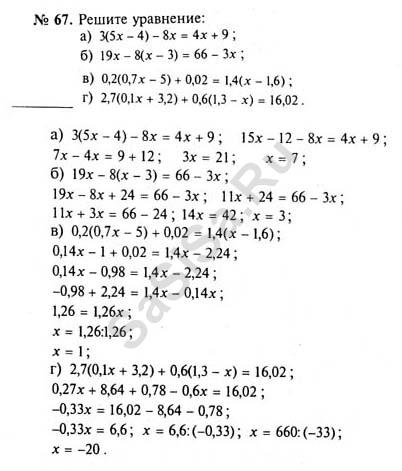
67
|
68
|
69
|
70
Далее »
Страница:
1
,
2
,
3
...
12
,
13
,
14
Алгебра, 8 Класс
Школьный раздел
Сервисы
|
Главная
(c)
m.sasisa.cc