Войти на сайт
(
)
Алгебра 7 класс. Макарычев (7 класс)
Номер задания
71
|
72
|
73
|
74
|
75
|
76
|
77
78
|
79
|
80
|
81
|
82
|
83
|
84
85
|
86
|
87
|
88
|
89
|
90
|
91
92
|
93
|
94
|
95
|
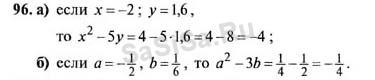
96
|
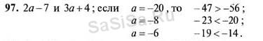
97
|
98
99
|
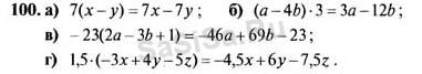
100
|
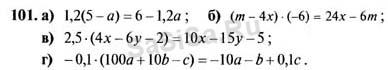
101
|
102
|
103
|
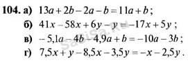
104
|
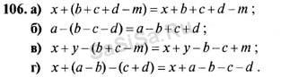
105
106
|
107
|
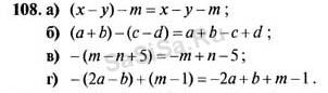
108
|
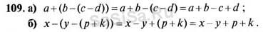
109
|
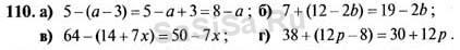
110
|
111
|
112
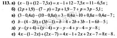
113
|
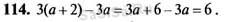
114
|
115
|
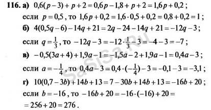
116
|
117
|
118
|
119
120
|
121
|
122
|
123
|
124
|
125
|
126
127
|
128
|
129
|
130
|
131
|
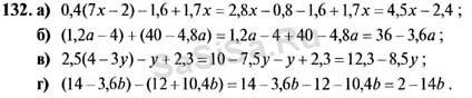
132
|
133
134
|
135
|
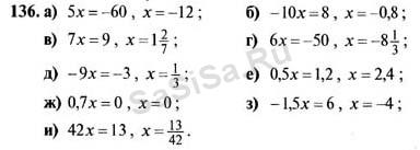
136
|
137
|
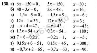
138
|
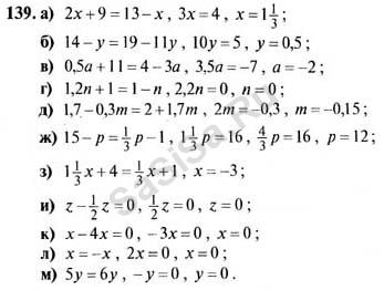
139
|
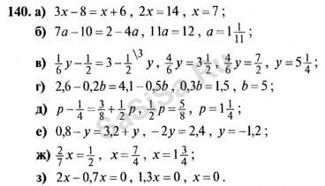
140
Далее »
« Назад
Страница:
1
,
2
,
3
, ...
17
,
18
,
19
Алгебра, 7 Класс
Школьный раздел
Сервисы
|
Главная
(c)
m.sasisa.cc