Войти на сайт
(
)
Алгебра 7 класс. Макарычев (7 класс)
Номер задания
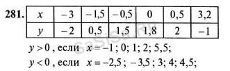
281
|
282
|
283
|
284
|
285
|
286
|
287
288
|
289
|
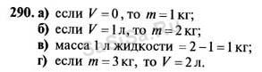
290
|
291
|
292
|
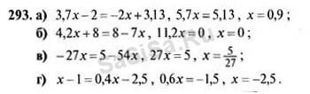
293
|
294
295
|
296
|
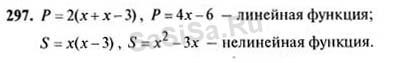
297
|
298
|
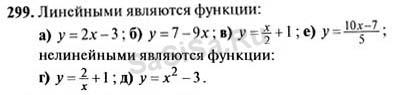
299
|
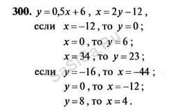
300
|
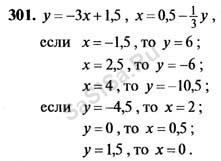
301
302
|
303
|
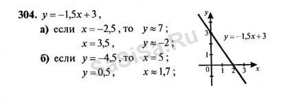
304
|
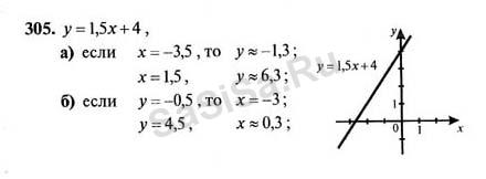
305
|
306
|
307
|
308
309
|
310
|
311
|
312
|
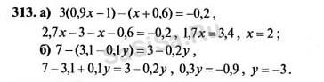
313
|
314
|
315
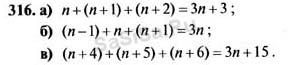
316
|
317
|
318
|
319
|
320
|
321
|
322
323
|
324
|
325
|
326
|
327
|
328
|
329
330
|
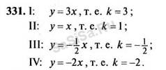
331
|
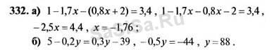
332
|
333
|
334
|
335
|
336
337
|
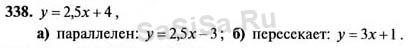
338
|
339
|
340
|
341
|
342
|
343
344
|
345
|
346
|
347
|
348
|
349
|
350
Далее »
« Назад
Страница:
1
,
2
,
3
,
4
,
5
,
6
...
17
,
18
,
19
Алгебра, 7 Класс
Школьный раздел
Сервисы
|
Главная
(c)
m.sasisa.cc