Войти на сайт
(
)
Алгебра 7 класс. Макарычев (7 класс)
Номер задания
211
|
212
|
213
|
214
|
215
|
216
|
217
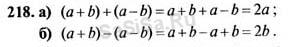
218
|
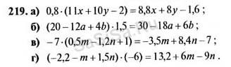
219
|
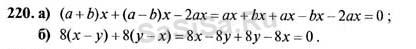
220
|
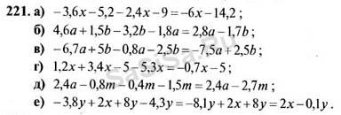
221
|
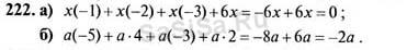
222
|
223
|
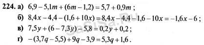
224
225
|
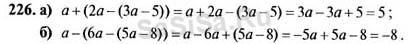
226
|
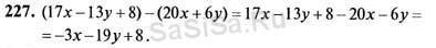
227
|
228
|
229
|
230
|
231
232
|
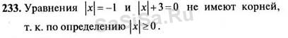
233
|
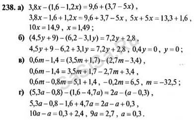
234
|
235
|
236
|
237
|
238
239
|
240
|
241
|
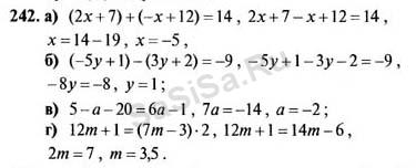
242
|
243
|
244
|
245
246
|
247
|
248
|
249
|
250
|
251
|
252
253
|
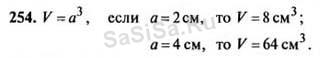
254
|
255
|
256
|
257
|
258
|
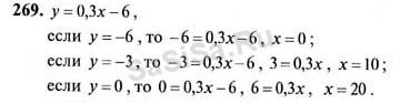
259
260
|
261
|
262
|
263
|
264
|
265
|
266
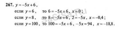
267
|
268
|
269
|
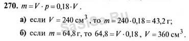
270
|
271
|
272
|
273
274
|
275
|
276
|
277
|
278
|
279
|
280
Далее »
« Назад
Страница:
1
,
2
,
3
,
4
,
5
...
17
,
18
,
19
Алгебра, 7 Класс
Школьный раздел
Сервисы
|
Главная
(c)
m.sasisa.cc