Войти на сайт
(
)
Алгебра 7 класс. Макарычев (7 класс)
Номер задания
1263
|
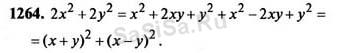
1264
|
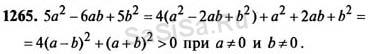
1265
|
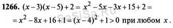
1266
|
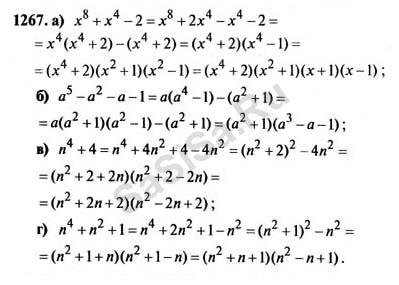
1267
|
1268
|
1269
1270
|
1271
|
1272
|
1273
|
1274
|
1275
|
1276
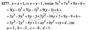
1277
|
1278
|
1279
|
1280
|
1281
|
1282
|
1283
1284
|
1285
|
1286
|
1287
|
1288
|
1289
|
« Назад
Страница:
1
,
2
,
3
...
17
,
18
,
19
Алгебра, 7 Класс
Школьный раздел
Сервисы
|
Главная
(c)
m.sasisa.cc