Войти на сайт
(
)
Алгебра 7 класс. Макарычев (7 класс)
Номер задания
1192
|
1193
|
1194
|
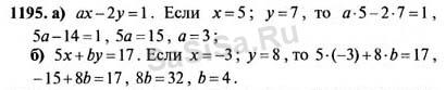
1195
|
1196
|
1197
|
1198
1199
|
1200
|
1201
|
1202
|
1203
|
1204
|
1205
1206
|
1208
|
1209
|
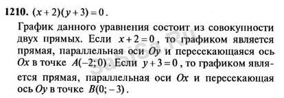
1210
|
1211
|
1212
|
1213
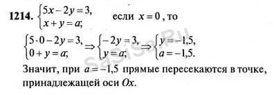
1214
|
1215
|
1216
|
1217
|
1218
|
1219
|
1220
1221
|
1222
|
1223
|
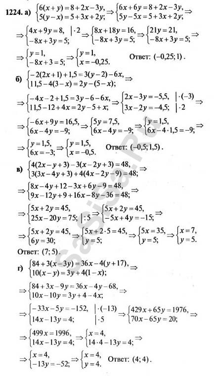
1224
|
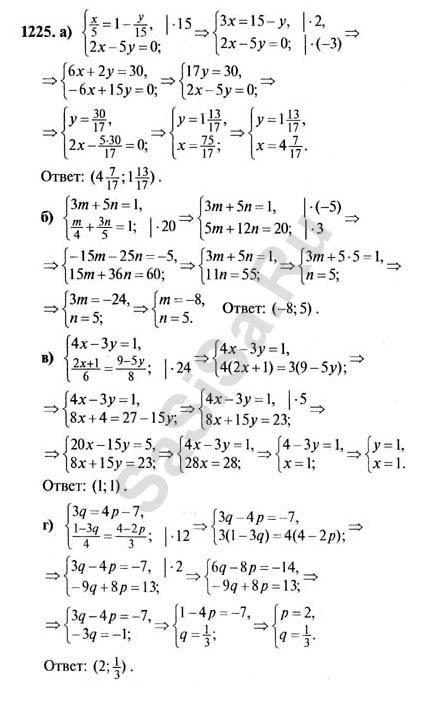
1225
|
1226
|
1227
1228
|
1229
|
1230
|
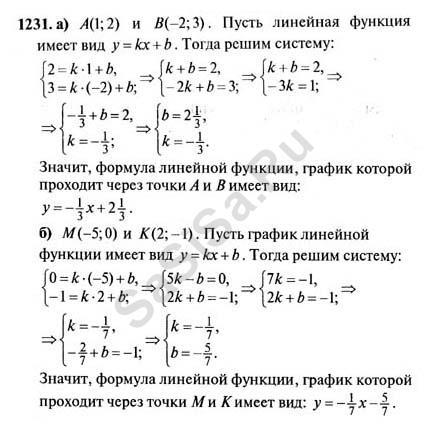
1231
|
1232
|
1233
|
1234
1235
|
1236
|
1237
|
1238
|
1239
|
1240
|
1241
1242
|
1243
|
1244
|
1245
|
1246
|
1247
|
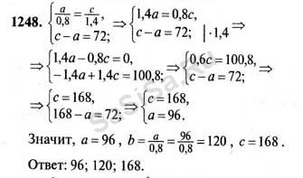
1248
1249
|
1250
|
1251
|
1252
|
1253
|
1254
|
1255
1256
|
1257
|
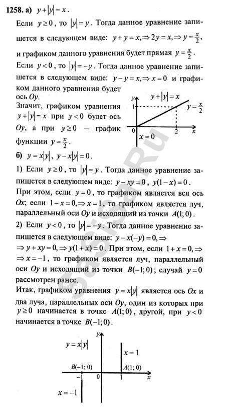
1258
|
1259
|
1260
|
1261
|
1262
Далее »
« Назад
Страница:
1
,
2
,
3
... ,
17
,
18
,
19
Алгебра, 7 Класс
Школьный раздел
Сервисы
|
Главная
(c)
m.sasisa.cc