Войти на сайт
(
)
Алгебра 7 класс. Макарычев (7 класс)
Номер задания
1122
|
1123
|
1124
|
1125
|
1126
|
1127
|
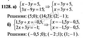
1128
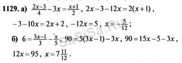
1129
|
1130
|
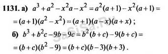
1131
|
1132
|
1133
|
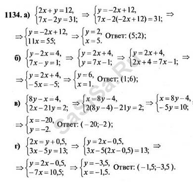
1134
|
1135
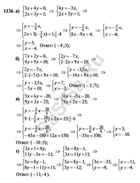
1136
|
1137
|
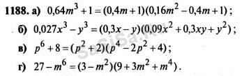
1138
|
1139
|
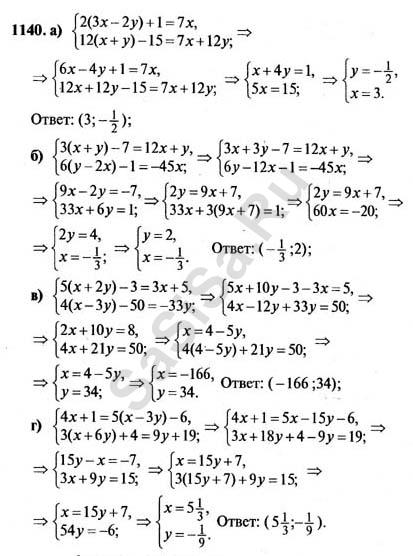
1140
|
1141
|
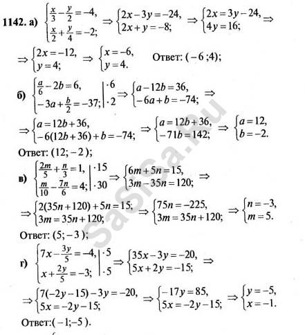
1142
1143
|
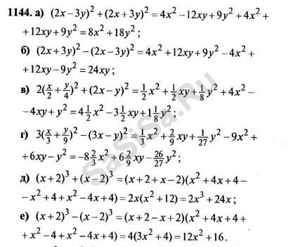
1144
|
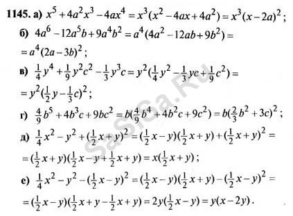
1145
|
1146
|
1147
|
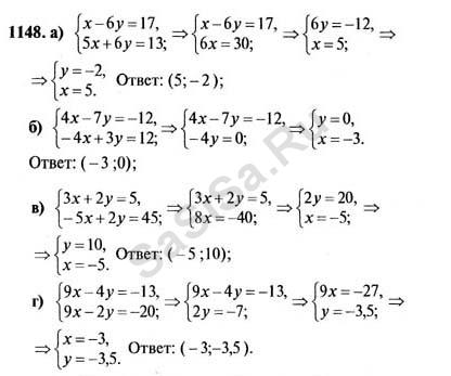
1148
|
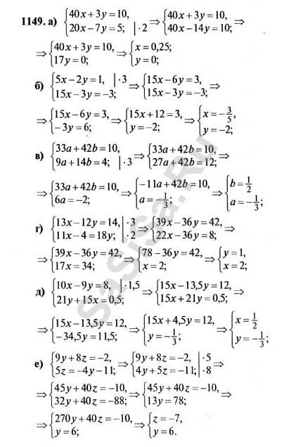
1149
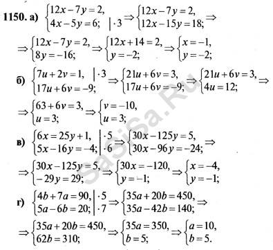
1150
|
1151
|
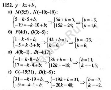
1152
|
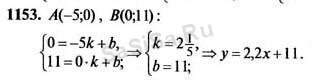
1153
|
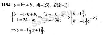
1154
|
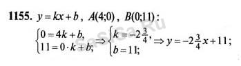
1155
|
1156
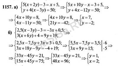
1157
|
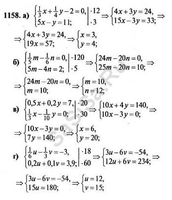
1158
|
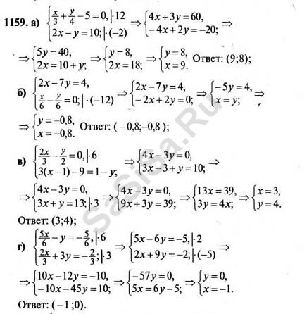
1159
|
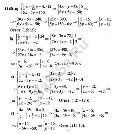
1160
|
1161
|
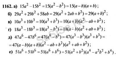
1162
|
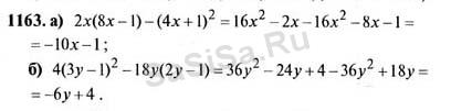
1163
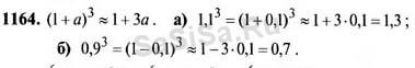
1164
|
1165
|
1166
|
1167
|
1168
|
1169
|
1170
1171
|
1172
|
1173
|
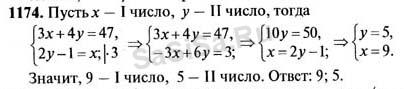
1174
|
1175
|
1176
|
1177
1178
|
1179
|
1180
|
1181
|
1182
|
1183
|
1184
1185
|
1186
|
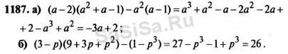
1187
|
1188
|
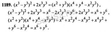
1189
|
1190
|
1191
Далее »
« Назад
Страница:
1
,
2
,
3
...
16
,
17
,
18
,
19
Алгебра, 7 Класс
Школьный раздел
Сервисы
|
Главная
(c)
m.sasisa.cc