Войти на сайт
(
)
Алгебра 7 класс. Макарычев (7 класс)
Номер задания
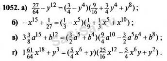
1052
|
1053
|
1054
|
1055
|
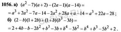
1056
|
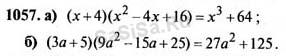
1057
|
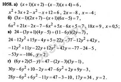
1058
1059
|
1060
|
1061
|
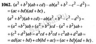
1062
|
1063
|
1064
|
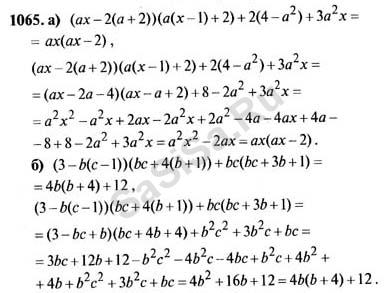
1065
1066
|
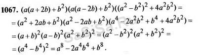
1067
|
1068
|
1069
|
1070
|
1071
|
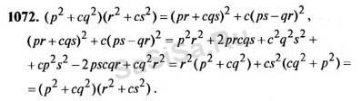
1072
1073
|
1074
|
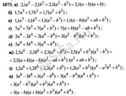
1075
|
1076
|
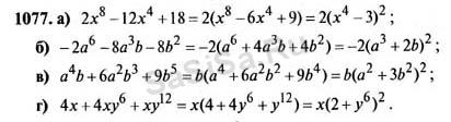
1077
|
1078
|
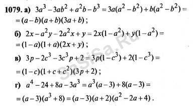
1079
1080
|
1081
|
1082
|
1083
|
1084
|
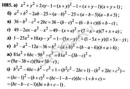
1085
|
1086
1087
|
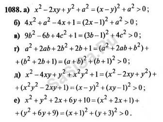
1088
|
1089
|
1090
|
1091
|
1092
|
1093
1094
|
1095
|
1096
|
1097
|
1098
|
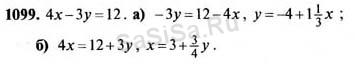
1099
|
1100
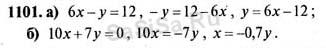
1101
|
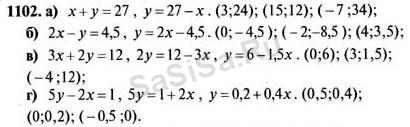
1102
|
1103
|
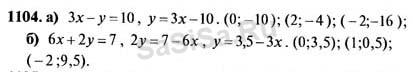
1104
|
1105
|
1106
|
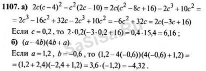
1107
1108
|
1109
|
1110
|
1111
|
1112
|
1113
|
1114
1115
|
1116
|
1117
|
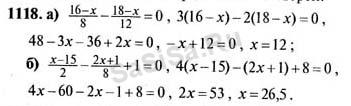
1118
|
1119
|
1120
|
1121
Далее »
« Назад
Страница:
1
,
2
,
3
...
15
,
16
,
17
,
18
,
19
Алгебра, 7 Класс
Школьный раздел
Сервисы
|
Главная
(c)
m.sasisa.cc